科研进展
《Global Change Biology》发表罗卫红教授团队“The impact of global dimming on crop yields isdetermined by the source‐sink imbalance of carbon during grain filling”
发布人: 发布日期: 2020-11-23 浏览次数:


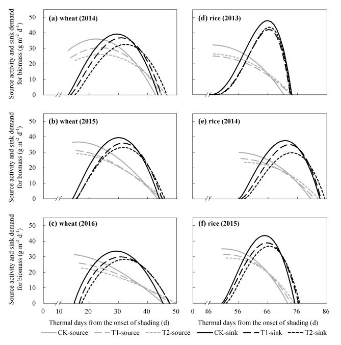
Dynamics of sourceactivity (mostly-descending curves) and sink demand (bell-shaped curves) forbiomass during grain filling period for wheat (a, b, c) and rice (d, e, f)
参考文献
【1】Shi W., Xiao G., Struik P.C., Jagadish K.S.,& Yin X. (2017). Quantifying source-sink relationships of rice under highnight-time temperature combined with two nitrogen levels. Field Crops Research,202, 36-46
【2】Wang S., Zhu Y., Jiang H., & Cao W. (2006).Positional differences in nitrogen and sugar concentrationsof upper leaves relate to plant N status in rice under different N rates. Field Crops Research, 96, 224-234
- 上一篇: 《The Plant Cell》发表多倍体团队“Altered chromatin architecture and gene expression during polyploidization and domestication of soybean”
- 下一篇: 《Molecular Plant 》发表华健教授团队“Arabidopsis Immune-Associated Nucleotide-binding genes inhibit heat tolerance at reproductive stages via inhibiting unfolded protein response and promoting cell death”
